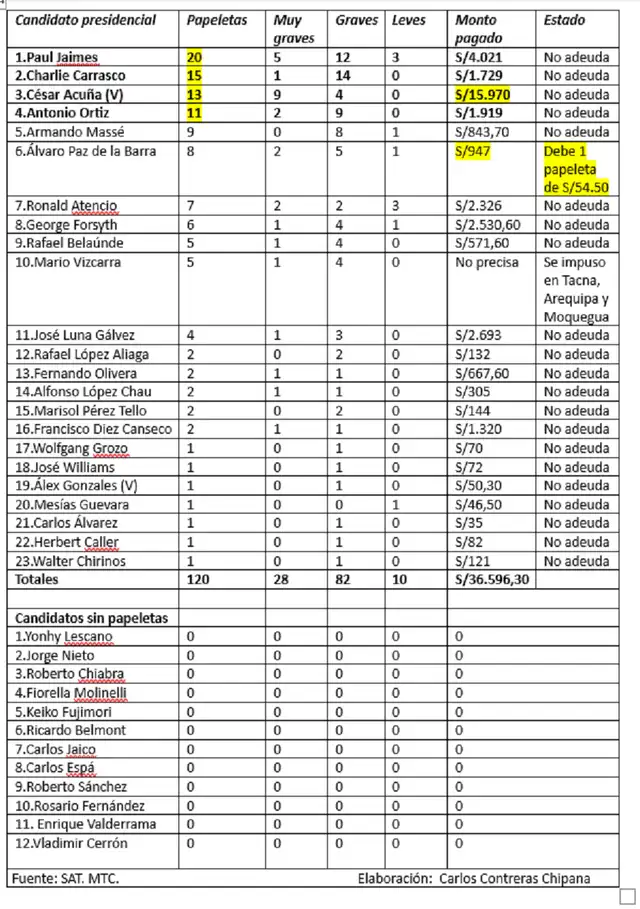
23 candidatos presidenciales suman 120 papeletas en su historial: Acuña es el que más faltas muy graves acumula
Pagaron más de S/36.000, según el SAT. Paul Jaimes, Charlie Carrasco, César Acuña y Antonio Ortiz concentran la mitad de las sanciones. Los dos primeros, incluso, proponen eliminar la ATU. Acuña tiene multas por exceso de velocidad, aunque responde que quienes las cometieron fueron sus choferes. Otros 12 candidatos no cuentan con papeletas en su récord.
- César Acuña anuncia que demandará a Fernando Olivera por difamación tras expresiones en el debate presidencial
- Contraloría devolvió a la FAP el expediente de compra de 24 cazas por estar incompleto

Su historial como conductores habla mucho de sus reacciones. De los 35 candidatos presidenciales habilitados por el Jurado Nacional de Elecciones (JNE), 23 de ellos cuentan con un récord de 120 papeletas por infracciones de tránsito que, en total, suman más de 36.000 soles, según un análisis de datos que realizó La República con base a las estadísticas del Servicio de Administración Tributaria (SAT) de Lima.
Los postulantes con más infracciones de tránsito, en el periodo comprendido entre febrero del 2001 y julio del 2025, son Paul Jaimes (Progresemos), Charlie Carrasco (Partido Demócrata Unido Perú), César Acuña (Alianza para el Progreso) y Antonio Ortiz (Salvemos al Perú), quienes concentran cerca del 50% de las 120 papeletas que fueron aplicadas por la Policía de Tránsito. En total, reportan 59 papeletas asociadas a su DNI, la mayoría entre graves y muy graves, por un monto total de 23.639 soles.
TE RECOMENDAMOS
🚨 EN VIVO DEBATE PRESIDENCIAL 2026 HOY, 25 de marzo: KEIKO, NIETO y 10 candidatos CARA A CARA #HLR
El abogado Paul Jaimes lidera la lista con 20 multas de tránsito, de las cuales 12 fueron por infracciones graves, ya sea por conducir sin cinturón, no usar luces, realizar maniobras peligrosas o no respetar las señales; en tanto otros 5 fueron muy graves por exceder los límites de velocidad o manejar sin documentos. Según el SAT, el postulante a la presidencia no presenta deudas porque pagó, en total, 4.021 soles por ellas.
Le sigue el abogado Charlie Carrasco que registra 15 papeletas por más de 1.729 soles que tuvo que pagar al SAT. De esa cifra, 14 fueron por faltas graves, como estacionarse en zona rígida, manejar con el celular en la mano, no respetar las señales de tránsito. La única multa muy grave fue por girar o cruzar cuando la luz del semáforo estaba en rojo.
Llama la atención que tanto como Jaimes como Carrasco proponen la eliminación de la Autoridad de Transporte Urbano (ATU) y la formalización de los autos colectivos en Lima y Callao.
César Acuña entre los más infractores
El tercer candidato con más multas de tránsito es el exgobernador de La Libertad, César Acuña, con 13 reportadas. Sin embargo, es el que más infracciones muy graves acumula: 9 en total por exceso de velocidad.
Se le aplicó una fotopapeleta, por ejemplo, el 19 de enero del 2024 en la Vía de Evitamiento, a la altura del puente Morro, en Santa Anita, porque su camioneta Toyota Hilux circulaba a 92 kilómetros por hora (km/h) cuando lo permitido era 80 km/h.
Acuña también tiene 4 infracciones graves, sobre todo por estacionarse en zona rígida. Pese a todas estas 13 papeletas registradas, no tiene deudas con el SAT pagó 15.970 soles por todas.
El candidato de Salvemos al Perú, Antonio Ortiz, cuenta con 11 papeletas de tránsito, de las cuales 9 fueron por faltas graves (realizar maniobras peligrosas, no respetar las señales y no presentar el documento de inspección técnica) y 2 por faltas muy graves (girar o cruzar cuando la luz del semáforo estaba en rojo y por manejar sin SOAT). Según el SAT, pagó 1.919 soles.
Para el politólogo Eduardo Salmón, estas infracciones cometidas dicen mucho de la conducta de los postulantes a la presidencia cuando son ciudadanos de a pie y eso preocupa, ya que si procuran ser autoridades deben dar el ejemplo.
“Hay estudios experimentales que nos muestran que hay una relación entre violar normas de tránsito y tener tendencias autoritarias. Por ejemplo, la investigación de Paul Piff, de la Universidad de California en Berkeley, observó que los conductores de autos de lujo eran más propensos a estas acciones. Es decir, el auto genera una percepción de superioridad”, explicó.
Respuesta de los candidatos
Pero, ¿qué responden estos cuatro candidatos presidenciales con más multas de tránsito?
Paul Jaimes, de Progresemos, respondió que la cifra puede verse excesiva, pero forma parte de un historial de 25 años. Aclaró además que solo reconoce que dos papeletas le impusieron cuando estaba como conductor. Según él, las otras 18 han sido aplicadas a sus familiares que conducían autos que estaban a su nombre.
“La mayoría de fotopapeletas son por exceso de velocidad y se le impone al propietario del vehículo infractor. Eso ha pasado con sus familiares. ¿Por qué no las impugné si no fui yo quien cometió la falta? Porque iba a perder mi tiempo y tengo muchas cosas que hacer, así que pagué aprovechando descuentos”, sostuvo.
El candidato señaló que esta situación no tiene nada que ver con sus propuestas de eliminar la ATU, formalizar a los autos colectivos y eliminar sus papeletas. “Una cosa son las infracciones de tránsito y otras las de transporte que te aplica la abusiva de la ATU”, refirió Jaimes.
Por su parte, Alianza para el Progreso declaró a La República que su candidato presidencial es dueño de 158 vehículos que son manejados exclusivamente por conductores contratados para actividades empresariales y logística.
De esta manera, señaló que dichas infracciones, ya pagadas al 100%, se deben al desempeño de dichos choferes. “César Acuña no conduce vehículos motorizados personalmente desde hace varios años, delegando esa tarea a personal especializado por razones de seguridad y agenda. Por lo tanto, la acumulación de puntos en su licencia es una consecuencia administrativa de la titularidad de los vehículos y no refleja su conducta personal al volante”, precisó tras agregar que se viene capacitando a los conductores para que eviten estas acciones.
Este diario solicitó las versiones de los candidatos Charlie Carrasco y Antonio Ortiz, pero evitaron responder a las preguntas.
Quien sí opinó fue el exjefe de la Policía de Tránsito, Javier Avalos. El general en retiro explicó que, si bien se aplica la fotopapeleta por exceso de velocidad al propietario del vehículo, este último puede impugnar ante el SAT y demostrar que quien cometió la infracción fue otra persona. “Si no lo hace y paga la multa, su récord de conductor se ve perjudicado (como ha sucedido en estos casos)”, mencionó.
Los de mitad de tabla
A esos cuatro candidatos se suman Armando Massé (Partido Federal) y Álvaro Paz de la Barra (Fe en el Perú), quienes registran 9 y 8 papeletas por S/843,70 y S/947, respectivamente. El segundo debe S/54,50 por una multa del 2002.
También está Ronald Atencio (Venceremos) con 7 multas pagadas por S/2.326 y George Forsyth (Somos Perú), quien pagó S/2.530 por 6 papeletas. El exfutbolista registra 4 infracciones graves, una de ellas por manejar ebrio.
Rafael Belaúnde (Libertad Popular) y Mario Vizcarra (Perú Primero) reportan 5 papeletas en su récord de conductor. El segundo las recibió en Tacna, Moquegua y Arequipa. José Luna (Podemos) presenta 4 pagadas por S/2.693.
La lista sigue con Fernando Olivera (Frente de la Esperanza), Alfonso López Chau (Ahora Nación), Marisol Pérez Tello (Primero La Gente), Francisco Diez Canseco (Perú Acción) y Rafael López Aliaga (Renovación Popular), quienes registran 2 multas cada uno.
López Aliaga tiene dos infracciones graves por manejar sin cinturón y sin las manos en el volante. En el SAT no figura el incidente donde dio positivo a una prueba de alcoholemia.
A ellos se suman Wolfgang Grozo (Integridad Democrática), José Williams (Avanza País), Álex Gonzales (Partido Verde), Mesías Guevara (Partido Morado), Carlos Álvarez (País para Todos), Herbert Caller (Partido Patriótico del Perú) y Walter Chirinos (PRIN), quienes cuentan con una papeleta cada uno.
Al respecto, el politólogo Eduardo Salmón manifestó también que este número alto de infracciones demuestra que la mayoría de candidatos (23) se traslada en auto, por lo que no sufren lo que padecen los miles de peruanos que usan el transporte público. “Este es un detalle importante porque eso hace que tengan una mirada distinta y por eso priorizan a los autos en sus proyectos (como sucede con las obras que dejó el exalcalde Rafael López Aliaga)”, afirmó.
Los que no tienen papeletas
Es importante indicar que si su candidato presidencial no ha sido nombrado es que forma parte de los 12 que no tienen multas en el SAT. En ese grupo se encuentran Yonhy Lescano (Cooperación Popular), Jorge Nieto (Partido del Buen Gobierno), Roberto Chiabra (Unidad Nacional), Fiorella Molinelli (Fuerza y Libertad), Ricardo Belmont (Obras), Carlos Espá (Sí Creo); así como Carlos Jaico (Perú Moderno), Roberto Sánchez (Juntos por el Perú), Enrique Valderrama (APRA), Rosario Fernández (Un Camino Diferente), Keiko Fujimori (Fuerza Popular) y Vladimir Cerrón (Perú Libre).

Papeletas de candidatos presidenciales.



























